next up previous contents
Nächste Seite: Lösung der Strom-Gleichungen Aufwärts: Selbstkonsistentes Lösungsverfahren Vorherige Seite: Selbstkonsistentes Lösungsverfahren   Inhalt


Lösung der Poisson-Gleichung

Die eindimensionale Poisson-Gleichung (1.10) bestimmt den Potentialverlauf in einem Halbleiterbauelement, Randbedingung ist die angelegte Spannung $ U$ (Abschnitt 1.1 und Abschnitt 1.4). Die Ladungsträgerdichten in (1.7) sind eine Funktion vom Potential $ \phi$ so, daß $ \phi$ aus der nichtlinearen Poisson-Gleichung

$\displaystyle \epsilon_0 \partial_z \left[ \epsilon ( z ) \partial_z \phi ( z ) \right] = - \rho ( \phi ( z ) )$ (1.39)

selbstkonsistent bestimmt werden muß.


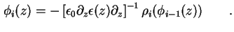
Hierzu wird das Fixpunktverfahren verwendet, ein iteratives Lösungsverfahren [Sel84]. Dabei bestimmt man im Iterationsschritt $ i$ zu einer vorgegebenen Ladungsträgerverteilung $ \rho_i$ ein Potential $ \phi_i$ durch Invertieren des Laplace-Operators in (1.39)

$\displaystyle \phi_i ( z ) = - \left[\epsilon_0 \partial_z \epsilon(z) \partial_z \right]^{-1} \rho_i ( \phi_{i-1} ( z ) ) \qquad.$ (1.40)

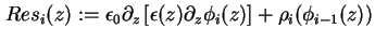
Im nächsten Iterationsschritt $ i+1$ wird mit dem errechneten $ \phi_i$ ein $ \rho_{i+1}$ bestimmt, aus welchem man wieder durch Invertieren des Laplace-Operators ein $ \phi_{i+1}$ bestimmt. Die Iteration führt man so oft durch, bis das Residuum

$\displaystyle Res_i (z):= \epsilon_0 \partial_z \left[ \epsilon ( z ) \partial_z \phi_i ( z ) \right] + \rho_i ( \phi_{i-1} ( z ) )$ (1.41)

unterhalb einer anzugebenden Schranke liegt. Man spricht dann von einer konvergierten Lösung.


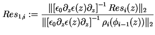
Die Definition (1.41) hat den Nachteil, daß man für jede neue Rechnung wieder eine geeignete Schranke ermitteln muß. Vorteilhafter ist es daher, das normierte Residuum

$\displaystyle Res_{1,i} := \frac{\lVert \left[\epsilon_0 \partial_z \epsilon(z)...
...ial_z \epsilon(z) \partial_z \right]^{-1} \rho_i ( \phi_{i-1} ( z ) ) \rVert_2}$ (1.42)

zu verwenden.


Der formale Ablauf des Fixpunktverfahrens erweist sich bei konkreten Rechnungen als unbrauchbar. Der Grund dafür ist, daß die ersten Iterationsschritte $ i$, aufgrund der starken Nichtlinearität in (1.39), Werte für $ \phi_i$ liefern, die sehr weit weg von der gesuchten Lösung liegen.


Eine Möglichkeit zur Verfeinerung des Fixpunktverfahrens ist das sogenannte Dämpfen, bei dem man jeder neuen Lösung $ \phi_{i+1}$ grundsätzlich einen sehr großen Fehler unterstellt und sie daher mit der vorangegangen Lösung $ \phi_i$ vermengt

$\displaystyle \tilde \phi_{i+1} = \phi_{i} - \lambda ( \phi_{i} - \phi_{i+1} ) \qquad.$ (1.43)

Mit dem Faktor $ \lambda \in \mathbb{R}^+$ gewichtet man den Einfluß der neuen Lösung $ \phi_{i+1}$. Für $ \lambda = 1$ verschwindet der Einfluß der vorangegangen Lösung $ \phi_{i}$, für $ \lambda < 1$ dämpft man den Einfluß von $ \phi_{i+1}$ und $ \lambda > 1$ übergewichtet den Einfluß von $ \phi_{i+1}$.


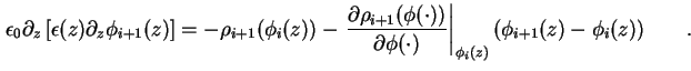
Eine Möglichkeit zur Beschleunigung der Konvergenz ist das Newton-Verfahren. Im Gegensatz zum Fixpunktverfahren wird hier die Ladungsträgerdichte $ \rho_{i+1}$ nach $ \phi$ bis zur ersten Ordnung Taylor-entwickelt [Bro81] und damit Laplace-Operator und Inhomogenität in der Poisson-Gleichung modifiziert [Sel84]. Das heißt, für ein Potential $ \phi_i$ des Iterationsschritts $ i$ schreibt sich (1.39) im folgenden Iterationsschritt $ i+1$ zu

$\displaystyle \epsilon_0 \partial_z \left[ \epsilon ( z ) \partial_z \phi_{i+1}...
...hi( \cdot )} \right\vert _{\phi_{i}(z)} (\phi_{i+1}( z ) - \phi_i( z )) \qquad.$ (1.44)

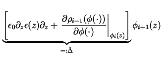
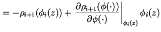
Die so umgeformte Poisson-Gleichung

$\displaystyle \underbrace{\left[ \epsilon_0 \partial_z \epsilon ( z ) \partial_...
...\cdot )} \right\vert _{\phi_{i}(z)}\right]}_{=: \tilde \Delta} \phi_{i+1} ( z )$      
       
$\displaystyle = - \rho_{i+1} ( \phi_i ( z ) )
+ \left. \frac{\partial \rho_{i+1} ( \phi(\cdot) )}{\partial \phi( \cdot )} \right\vert _{\phi_{i}(z)} \phi_i( z )$     (1.45)

wird mit ihrem neuen Differentialoperator-Operator $ \tilde \Delta$ und neuer Inhomogenität dem Fixpunkt-Verfahren unterzogen. Als Faustregel gilt, daß wenn das Fixpunkt-Verfahren eine Lösung findet, das Newton-Verfahren diese in den meisten Fällen schneller findet. Scheitert das Fixpunkt-Verfahren, so findet auch das Newton-Verfahren keine Lösung. Der Vorteil beschränkt sich also auf die Rechenzeit [Sel84], [Meh01]. Unter anderem für hohe Temperaturen ($ T > 50\ K$) hat sich das Newton-Verfahren bei der Simulation von Halbleiterbauelementen bewährt.


next up previous contents
Nächste Seite: Lösung der Strom-Gleichungen Aufwärts: Selbstkonsistentes Lösungsverfahren Vorherige Seite: Selbstkonsistentes Lösungsverfahren   Inhalt
Alexander Rack 2002-05-25