next up previous contents
Nächste Seite: Diskretisierung Aufwärts: Selbstkonsistentes Lösungsverfahren Vorherige Seite: Lösung der Poisson-Gleichung   Inhalt


Lösung der Strom-Gleichungen

Mittels der Strom-Gleichungen werden die Quasi-Fermi-Niveaus im Bauteil bestimmt. Die Bewegung der freien Elektronen und Löcher wird als sehr schnell angenommen, die zeitliche Abhängigkeit in den Strom-Gleichungen daher vernachlässigt. Es gilt Gleichung (1.15), hier wieder für Elektronen

$\displaystyle 0 \overset{!}{=} \partial_t n^{3d} (z) = \frac{1}{e} \partial_z j_n (z) - R_n (z) \qquad.$ (1.46)

Im folgenden soll eine Methode zur Lösung der Strom-Gleichungen abgeleitet werden, dabei erfolgt die daraus resultierende Berechnung der Quasi-Fermi-Niveaus in mehreren Iterationsschritten. Zuerst ergibt die Integration von (1.46) vom linken Kontakt des Bauteils am Ort $ z_L = 0$ bis zu einem Ort im Bauteil $ z$

$\displaystyle \partial_z j_n (z)$ $\displaystyle =$ $\displaystyle e R_n(z)$ (1.47)
       
$\displaystyle \Rightarrow \int_0^{z} \partial_{z'} j_n (z') \ dz'$ $\displaystyle =$ $\displaystyle \int_0^{z} e R_n (z') \ dz'$ (1.48)
       
$\displaystyle \Rightarrow \left. j_n \right\vert _z - \left. j_n \right\vert _{0}$ $\displaystyle =$ $\displaystyle \underbrace{\int_0^{z} e R_n(z') \ dz'}_{ =: H(z)}$ (1.49)
       
$\displaystyle \Leftrightarrow j_n ( z )$ $\displaystyle =$ $\displaystyle j_{n0} + H ( z )\qquad.$ (1.50)

Der Strom am Ort z ist also gegeben durch den Strom am linken Kontakt plus den Strom entstehend aus gr-Prozessen.


Durch Integration von (1.17) über die gesamte Struktur wird $ j_{n0}$ bestimmt

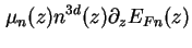
$\displaystyle j_n ( z )$ $\displaystyle =$ $\displaystyle \mu_n ( z ) n^{3d} ( z ) \partial_z E_{Fn} ( z )$  
       
$\displaystyle \Rightarrow \int_0^{z_R} \frac{j_n(z')}{ \mu_n ( z' ) n^{3d} ( z' ) } \ dz'$ $\displaystyle =$ $\displaystyle \int_0^{z_R} \partial_{z'} E_{Fn} ( z' ) \ dz'$ (1.51)
       
% latex2html id marker 3716
$\displaystyle \overset{(\ref{StromZwischenergebnis}...
...rrow} \int_0^{z_R} \frac{j_{n0} + H ( z' )}{ \mu_n ( z' )
n^{3d} ( z' ) } \ dz'$ $\displaystyle =$ $\displaystyle \left. E_{Fn} \right\vert _{z_R} - \left. E_{Fn} \right\vert _{0}$ (1.52)
       
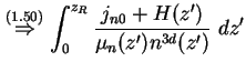
$\displaystyle \Leftrightarrow j_{n0}$ $\displaystyle =$ $\displaystyle \frac{\left. E_{Fn} \right\vert _{z_R} - \left. E_{Fn} \right\ver...
...3d} ( z' ) } \ dz'}
{\int_0^{z_R} \frac{1}{ \mu_n ( z' ) n^{3d} ( z' ) } \ dz'}$ (1.53)

mit dem Ort des rechten Kontakts $ z_R$. $ \left. E_{Fn} \right\vert _{z_R}$ und $ \left. E_{Fn} \right\vert _{0}$ sind die Dirichlet-Randbedingungen (1.14) der Strom-Gleichung, die wiederum durch den Spannungsunterschied $ U$ gegeben sind.


Das Quasi-Fermi-Niveau am Ort z ergibt sich schließlich durch Integration von (1.17) vom linken Kontakt des Bauteils am Ort $ z_L = 0$ bis z


$\displaystyle j_n ( z )$ $\displaystyle =$ $\displaystyle \mu_n ( z ) n^{3d} ( z ) \partial_z E_{Fn} ( z )$ (1.54)
       
$\displaystyle \Rightarrow \int_0^{z} \frac{j_n(z')}{ \mu_n ( z' ) n^{3d} ( z' ) } \ dz'$ $\displaystyle =$ $\displaystyle \int_0^{z} \partial_z' E_{Fn} ( z' ) \ dz'$ (1.55)
       
% latex2html id marker 3755
$\displaystyle \overset{(\ref{StromZwischenergebnis}...
...tarrow} \int_0^{z} \frac{j_{n0} + H ( z' )}{ \mu_n ( z' ) n^{3d} ( z' ) }
\ dz'$ $\displaystyle =$ $\displaystyle \left. E_{Fn} \right\vert _{z} - \left. E_{Fn} \right\vert _{0}$ (1.56)

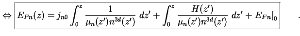
$\displaystyle \Leftrightarrow \boxed{ E_{Fn} (z) = j_{n0} \int_0^{z} \frac{1}{ ...
...}{ \mu_n ( z' ) n^{3d} ( z' ) } \ dz' + \left. E_{Fn} \right\vert _{0} }\qquad.$ (1.57)

Einsetzen des 1. Moments der Boltzmann-Gleichung (1.17) in das 0. Moment der Boltzmann-Gleichung (1.15) und zweimaliges Integrieren der resultierenden, inhomogenen Differentialgleichung zweiter Ordnung in $ E_{Fn}$ liefert somit bei gegebenen Randbedingungen das Quasi-Fermi-Niveau der Ladungsträger.


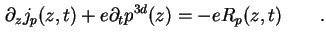
Für Löcher kann man das Lösungsverfahren analog formulieren, Ausgangspunkt ist dabei die stationäre Strom-Gleichung für Löcher

$\displaystyle \partial_z j_p ( z, t ) + e \partial_t p^{3d} ( z ) = - e R_p(z,t) \qquad.$ (1.58)


next up previous contents
Nächste Seite: Diskretisierung Aufwärts: Selbstkonsistentes Lösungsverfahren Vorherige Seite: Lösung der Poisson-Gleichung   Inhalt
Alexander Rack 2002-05-25