Die Ladung Q innerhalb eines zu betrachtenden Volumens V der Heterostruktur ergibt sich nach dem
physikalischen Gauß'schen Satz [Jac75] zu
 |
(2.16) |
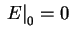
Abbildung 2.5:
Ladungsdichte
und daraus resultierende Feldstärke
am
-Übergang.
![\includegraphics[draft=false, width=10.5cm]{bilder/erhopndiode.epsi}](img383.png) |
Am Ort der Raumladungszone
ist die Leitfähigkeit am geringsten, der Widerstand also am größten.
Dieser Bereich wirkt wie ein Isolator, daher wird die Raumladungszone auch Sperrschicht genannt. Gemäß
(1.2) ist
auch der Ort des maximalen Feldes
- siehe Abbildung 2.5. Das
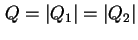
Bauteil läßt sich deshalb bei
in zwei Leiter zerlegt denken, die beide die Ladung
tragen, dargestellt in Abbildung 2.6. Bei einer
-Diode also
am
- beziehungsweise
-Übergang und bei der Schottky-Diode am Schottky-Kontakt.
Abbildung 2.6:
Zerlegung des Bauteils in zwei Leiter.
![\includegraphics[draft=false, width=7cm, angle=270]{bilder/SkizzeKapazitaet.epsi}](img386.png) |
Unsere Simulation ist eindimensional, das heißt, daß das Feld
in lateraler Richtung verschwindet,
da dort
gilt. In der mehrdimensionalen Integralrechnung kann man ein Volumenintegral, hier
(2.16), überführen in ein eindimensionales Integral der stetigen Querschnittsfunktion des zu
integrierenden Volumens, die in diesem Fall gleich der Diodenfläche A ist [Wüs95, Satz 19.10]. Zieht man
die konstante Querschnittsfläche A vor das Integral und integriert bei der
-Diode von dem
Ohm'schen Kontakt (z = 0) hin zu der Raumladungszone (
) beziehungsweise bei der Schottky-Diode
vom Ohm'schen Kontakt (z = 0) zum Schottky-Kontakt (
), so ergibt sich für (2.16)
mit
, da das Feld an einem Ohm'schen Kontakt verschwindet.
Es gilt also [Wet00]
 |
(2.20) |