next up previous contents
Nächste Seite: Dioden mit Quantenpunkten Aufwärts: Kapazitäts-Spannungs-Spektroskopie Vorherige Seite: Kapazitäts-Spannungs-Spektroskopie   Inhalt


pn-Dioden und Schottky-Dioden

Ändert sich an einer Übergangsstelle, zum Beispiel beim $ pn$-Übergang einer Halbleiterdiode, die Konzentration der Donator-Störstellen $ N_D$ sprunghaft in eine Konzentration von Akzeptor-Störstellen $ N_A$, so spricht man von einem abrupten Übergang. Gilt zusätzlich $ N_A \ll N_D$ oder $ N_A \gg N_D$, so handelt es sich um einen einseitig-abrupten Übergang $ n^+p$ oder $ p^+n$ (in der Literatur auch asymmetrischer Übergang genannt) [Sze81].


Schematisch sind ein p- und ein n-Halbleiter, einmal verbunden und einmal nicht verbunden, zusammen mit dem Bandkantenverlauf in Abbildung 2.1 dargestellt. Im Bereich des $ pn$-Übergangs diffundieren Elektronen und Löcher in den Akzeptor- beziehungsweise Donator-dotierten Bereich und rekombinieren dort. Zurück bleiben die ortsfesten, ionisierten Donator- und Akzeptor-Störstellen, die eine Raumladungszone bilden. Die resultierende Feldstärke $ E_{diff}$ dieser Zone verhindert eine weitere Diffusion [Nie92].

Abbildung 2.1: a) entkoppelte p- und n- Halbleiter, b) Raumladungszone am pn-Übergang.
\includegraphics[draft=false, width=14cm]{bilder/raumladungszonex.eps}

In der Schottky-Näherung (depletion approximation) nimmt man an, daß die Energieniveaus der Störstellen dicht unterhalb der Bandkante liegen und daher leicht durch Anlegen eines äußeren Feldes zu ionisieren sind. Der Ort der Raumladungszone ist dann also verknüpft mit dem Ort der ionisierten Donator- beziehungsweise Akzeptor-Atome. Man kann nun durch zweimaliges Integrieren der Poisson-Gleichung (1.6) die Breite $ W$ der Raumladungszone in der Schottky-Näherung abschätzen [Sze81]. Es ergibt sich für den abrupten Übergang

$\displaystyle W = \sqrt{\frac{2 \epsilon_0 \epsilon}{e} \left( \frac{N_A + N_D}{N_A N_D} \right) V_{bi}}$ (2.1)

mit dem eingebauten Potential $ V_{bi}$ (in der Literatur auch Kontaktpotential oder Diffusionspotential genannt) - siehe Abbildung 2.1, $ E_G$ bezeichnet die Bandlücke. Für den einseitig-abrupten Übergang gilt

$\displaystyle W = \sqrt{\frac{2 \epsilon_0 \epsilon V_{bi}}{e N_{x}} } \qquad,$ (2.2)

$ N_x$ steht für die jeweilige Dotierungsdichte (Einheit: $ cm^{-3}$). Bei den untersuchten Strukturen hat man entweder einen Schottky-Kontakt (Metall-Halbleiter-Übergang, Kapitel 1.4), an dem sich die Raumladungszone bildet oder einen $ p^+n$- beziehungsweise $ n^+p$-Übergang. Es tritt also ausschließlich der einseitig-abrupte Übergang auf. Der Grund hierfür ist, daß bei diesem Übergang die Raumladungszone sich faktisch nur in eine Richtung ausdehnt, man also aus der CV-Kennlinie direkt Aussagen über die Dotierungskonzentration einer n- oder p-dotierten Schicht machen kann.

Legt man eine Spannung $ U < 0$ (in Sperrichtung) an die Struktur, so transformiert sich (2.2) zu

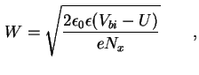
$\displaystyle W = \sqrt{\frac{2 \epsilon_0 \epsilon ( V_{bi} - U )}{e N_{x}} } \qquad,$ (2.3)

die Raumladungszone dehnt sich also aus. Nach Abbildung 2.1 (b) bedeutet das Anlegen einer Spannung $ U < 0$ eine Verschiebung der Quasi-Fermi-Niveaus beider Bereiche um $ eU$ gegeneinander, wodurch Störstellen über das Quasi-Fermi-Niveau geschoben und dadurch ionisiert werden. Mit der Querschnittsfläche $ A$ der Diode ist die gesamte Raumladung gegeben durch $ Q = N_x W A$.


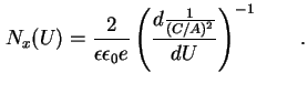
Bei der CV-Spektroskopie untersucht man die Änderung der Kapazität $ C$ des Bauteils verursacht durch eine Veränderung der Raumladungszone in Abhängigkeit von der Sperrspannung $ U$. Unter Verwendung von (2.3) läßt sich nach [Sze81] die Kapazitäts-Spannungs-Kennlinie für den einseitig-abrupten Übergang abschätzen durch einen analytischen Ausdruck

$\displaystyle C := \frac{dQ}{dU} = A \sqrt{\frac{e \epsilon_0 \epsilon N_x}{2}} (V_{bi} - U)^{-1/2} \qquad.$ (2.4)

Dabei bezeichnet $ dQ$ die differentielle Änderung der Ladung, verursacht durch eine differentielle Änderung der Spannung $ dU$.


Ein typisches Beispiel für die in dieser Arbeit untersuchten Strukturen mit einseitig-abruptem Übergang ist GaAs, das mit Silizium-Atomen dotiert wurde ( $ N_D = 10^{16} \ cm^{-3}$). Es ergibt sich nach (2.4) ein Verlauf der CV-Kennlinie, wie ihn Abbildung 2.2 zeigt. Angenommen wurde ein kreisförmiger Mesa mit $ 400 \ \mu m$ Durchmesser.

Abbildung 2.2: Mit (2.4) berechnete CV-Kennlinie für einen kreisförmigen Mesa mit $ 400 \ \mu m$ Durchmesser und einseitig-abrupten Übergang aus Silizium-dotiertem GaAs ( $ N_D = 10^{16} \ cm^{-3}$).
\includegraphics[draft=false, width=7cm, angle=270]{bilder/theocvoqd.epsi}

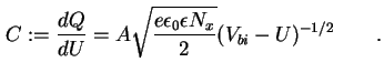
Unter Verwendung der Abschätzungen (2.4) läßt sich ferner aus einer gemessenen CV-Kennlinie ein scheinbares Dotierungsprofil ausrechnen [Sze81]

$\displaystyle N_x (U) = \frac{2}{\epsilon \epsilon_0 e} \left( \frac{d\frac{1}{(C/A)^2}}{dU} \right)^{-1} \qquad.$ (2.5)

Mit (2.3) ist zu jeder Spannung $ U$ eine Position im Bauteil relativ zum einseitig-abrupten Übergang ermittelbar. Dadurch kann man mit (2.3) und (2.5) ein scheinbares Tiefenprofil der Dotierung berechnen.


Der Ausdruck (2.5) liefert näherungsweise einen Wert für die tatsächliche Dotierung, daher der Begriff scheinbares Dotierungsprofil. Grund ist die bei der Herleitung verwendete Schottky-Näherung, für die die Störstellen flach unterhalb der Bandkanten liegen müssen. Man geht dabei davon aus, daß die gesamte Änderung der Kapazität durch die Ladungsträger aus den Störstellen gegeben ist. Bei Diskontinuitäten in der Bandstruktur, wie zum Beispiel bei InAs-Quantenpunkten in n-dotiertem GaAs, sind die Elektronen der Donatoren in der Umgebung der Quantenpunkte in diesen lokalisiert. Ferner liegen die Quantenpunkt-Energieniveaus vergleichsweise tief unterhalb der Leitungsbandkante, die Schottky-Näherung gilt nicht. Im scheinbaren Dotierungsprofil führt das dazu, daß bei den Quantenpunkten enorm hohe Dotierungskonzentrationen bestimmt werden, wohingegen in deren Umgebung die Dotierung fast zu verschwinden scheint. Für eine Analyse der CV-Spektren von Dioden mit Quantenpunkten ist (2.5) daher nicht verwendbar, um Aussagen über die elektronischen Eigenschaften der Quantenpunkte zu machen.


next up previous contents
Nächste Seite: Dioden mit Quantenpunkten Aufwärts: Kapazitäts-Spannungs-Spektroskopie Vorherige Seite: Kapazitäts-Spannungs-Spektroskopie   Inhalt
Alexander Rack 2002-05-25