next up previous contents
Nächste Seite: 1. Moment der Boltzmann-Gleichung Aufwärts: Herleitung der Strom-Gleichungen Vorherige Seite: Herleitung der Strom-Gleichungen   Inhalt

0. Moment der Boltzmann-Gleichung

Die Bestimmung des 0. Moments der Boltzmann-Gleichung (A.1) erfolgt durch Integration über den k-Raum [Sch98], [Sch01a]

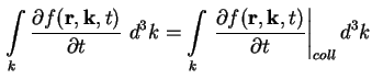
$\displaystyle \int\limits_k \frac{\partial f ( \textbf{r}, \textbf{k}, t )}{\pa...
...\partial f ( \textbf{r}, \textbf{k}, t
)}{\partial t} \right\vert _{coll} d^3 k$ $\displaystyle -$ $\displaystyle \int\limits_k \frac{d \textbf{k}}{d t} \nabla_k f ( \textbf{r}, \textbf{k}, t ) \ d^3 k$  
  $\displaystyle -$ $\displaystyle \int\limits_k \textbf{v}(\textbf{r} , \textbf{k} ) \nabla_r f ( \textbf{r}, \textbf{k}, t ) \ d^3 k$  

Zuerst betrachten wir die rechte Seite von (A.8). Der Kollisions-Term kann bei kleinen Störungen vernachlässigt werden. Berücksichtigt man, daß $ f ( \textbf{r}, \textbf{k}, t )$ am Rand des k-Raums (Brillouin-Zone) verschwindet, läßt sich der zweite Summand des Integrationskerns durch partielles Integrieren über k schreiben als

$\displaystyle -\int\limits_k \frac{d \textbf{k}}{d t} \nabla_k f( \textbf{r} , ...
...nabla_k \frac{d \textbf{k}}{d t}}_{\sim \partial_k \dot{k} = 0} \ d^3 k = 0 \ .$ (A.8)

Mit analoger Argumentation schreibt man den dritten Summanden des Integrationskerns von (A.8) unter Verwendung der Produktregel des Differenzierens um

$\displaystyle \int\limits_k \textbf{v}(\textbf{r} , \textbf{k} ) \nabla_r f ( \textbf{r}, \textbf{k}, t ) \ d^3 k$ $\displaystyle =$ $\displaystyle \int\limits_k \nabla_r ( \textbf{v}(\textbf{r}
, \textbf{k} ) f ( \textbf{r}, \textbf{k}, t )) \ d^3 k \quad$  
    $\displaystyle {} \quad - \int\limits_k f ( \textbf{r},
\textbf{k}, t ) \underbr...
...a_r \textbf{v}(\textbf{r} , \textbf{k}
)}_{\sim \partial_z \dot{z} = 0} \ d^3 k$  
  $\displaystyle =$ $\displaystyle \nabla_r \int\limits_k \textbf{v}(\textbf{r} , \textbf{k} ) f ( \textbf{r},
\textbf{k}, t ) \ d^3 k$ (A.9)
    $\displaystyle {}($[Wüs95, Satz 17.10]$\displaystyle ) \qquad.$  

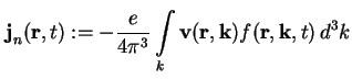
Über die Definition einer Stromdichte für Elektronen $ \textbf{j}_n ( \textbf{r}, t ) $

$\displaystyle \textbf{j}_n ( \textbf{r}, t ) : = - \frac{e}{4 \pi^3} \int\limit...
...\textbf{v} ( \textbf{r} , \textbf{k} ) f ( \textbf{r}, \textbf{k}, t ) \, d^3 k$ (A.10)

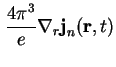
läßt sich (A.8) insgesamt schreiben als

$\displaystyle \frac{\partial}{\partial t} \int\limits_k f ( \textbf{r}, \textbf{k}, t ) \ d^3 k$ $\displaystyle =$ $\displaystyle \frac{4 \pi^3}{e} \nabla_r \textbf{j}_n ( \textbf{r}, t )$ (A.11)
       
$\displaystyle \Leftrightarrow \quad e \frac{\partial}{\partial t} \underbrace{\...
...4 \pi^3} \int\limits_k
f ( \textbf{r}, \textbf{k}, t ) \ d^3 k}_{n^{3d} ( r ) }$ $\displaystyle =$ $\displaystyle \nabla_r \textbf{j}_n ( \textbf{r}, t ) \qquad.$ (A.12)

Gleichung (A.13) ist das sogenannte 0. Moment der Boltzmann-Gleichung, welches hier eine Dynamik beschreibt

$\displaystyle \boxed{ e \frac{\partial}{\partial t} n^{3d} ( \textbf{r} ) - \nabla_r \textbf{j}_n ( \textbf{r}, t ) = 0 }$ (A.13)

wobei $ n^{3d} ( \textbf{r} ) $ die dreidimensionale Elektronendichte ist.


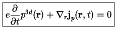
Für Löcher findet man analog

$\displaystyle \boxed{ e \frac{\partial}{\partial t} p^{3d} ( \textbf{r} ) + \nabla_r \textbf{j}_p ( \textbf{r}, t ) = 0 }$ (A.14)

mit der Stromdichte der Löcher $ \textbf{j}_p$ und der dreidimensionalen Lochdichte $ p^{3d}$.


next up previous contents
Nächste Seite: 1. Moment der Boltzmann-Gleichung Aufwärts: Herleitung der Strom-Gleichungen Vorherige Seite: Herleitung der Strom-Gleichungen   Inhalt
Alexander Rack 2002-05-25