next up previous contents
Nächste Seite: Materialparameter Aufwärts: Deckblatt Vorherige Seite: Evolutionsstrategien   Inhalt


Fermi-Dirac-Integral

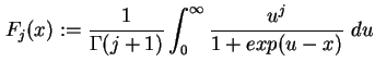
Definition C.1   Fermi-Dirac-Integral

$\displaystyle F_j ( x ) := \frac{1}{\Gamma (j+1)} \int_0^{\infty} \frac{u^j}{1+exp(u-x)} \ du$ (C.1)

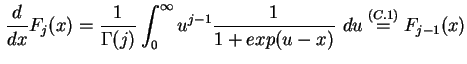
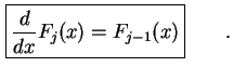
Lemma C.1   Für die Ableitung des Fermi-Dirac-Integrals gilt

$\displaystyle \boxed{ \frac{d}{dx} F_j ( x ) = F_{j-1} (x) }\qquad.$ (C.2)

Beweis C.1   berechne die Ableitung des Fermi-Dirac-Integrals


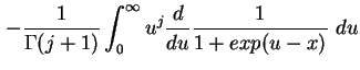
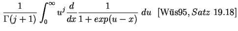
$\displaystyle \frac{d}{dx} F_j ( x )$ $\displaystyle =$ $\displaystyle \frac{1}{\Gamma (j+1)} \frac{d}{dx} \int_0^{\infty} \frac{u^j}{1+exp(u-x)} \ du$ (C.3)
       
  $\displaystyle =$ $\displaystyle \frac{1}{\Gamma (j+1)} \int_0^{\infty} u^j \frac{d}{dx} \frac{1}{1+exp(u-x)} \ du \ \ \cite[Satz \ 19.18]{WUE95b}$  
      (C.4)
  $\displaystyle =$ $\displaystyle \frac{1}{\Gamma (j+1)} \int_0^{\infty} u^j \underbrace{(-1)(1+exp(u-x))^{-2}(-exp(u-x)}_{-\frac{d}{du} \frac{1}{1+exp(u-x)}} \ du$  
      (C.5)
  $\displaystyle =$ $\displaystyle - \frac{1}{\Gamma (j+1)} \int_0^{\infty} u^j \frac{d}{du} \frac{1}{1+exp(u-x)} \ du$ (C.6)
       
  $\displaystyle \overset{part.Integ.}{=}$ $\displaystyle - \frac{1}{\Gamma (j+1)} (\underbrace{\left[ u^j \frac{1}{1+exp(u-x)} \right]^{\infty}_0}_{0}$  
  $\displaystyle - \int_0^{\infty} j u^{j-1} \frac{1}{1+exp(u-x)} \ du \, )$ (C.7)
       
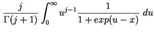
  $\displaystyle =$ $\displaystyle \frac{j}{\Gamma (j+1)} \int_0^{\infty} u^{j-1} \frac{1}{1+exp(u-x)} \ du$ (C.8)


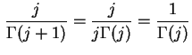
Nebenrechnung ( $ \Gamma ( j + 1) = j \Gamma ( j )$ [Bro81])

$\displaystyle \frac{j}{\Gamma (j + 1)} = \frac{j}{j \Gamma ( j )} = \frac{1}{\Gamma ( j )}$ (C.9)

also

% latex2html id marker 6321
$\displaystyle \frac{d}{dx} F_j ( x ) = \frac{1}{\Ga...
...^{j-1} \frac{1}{1+exp(u-x)} \ du \overset{(\ref{DefFermiInt})}{=} F_{j-1} ( x )$ (C.10)

$ \square$


next up previous contents
Nächste Seite: Materialparameter Aufwärts: Deckblatt Vorherige Seite: Evolutionsstrategien   Inhalt
Alexander Rack 2002-05-25